Ví dụ: Chuỗi số Fibonacci: 1 1 2 3 5 8 13 ...
long Fibonacci(int n){
if (n<=2) return 1;
return Fibonacci(n-2) + Fibonacci(n-1);
}
long Fibonacci(int n){
if (n<=2) return 1;
return Fibonacci(n-2) + Fibonacci(n-1);
}
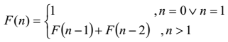
Bài toán: Tìm phần tử Fibonacci thứ n
Viết chương trình tìm phần tử Fibonacci thứ n được định nghĩa đệ quy như sau:
Mã nguồn:
#include<math.h>
#include<iostream>
#include<conio.h>
using namespace std;
int Fibonacci(int N){
if(N==0 || N==1)
return 1;
else
return Fibonacci(N-2) + Fibonacci(N-1);
}
int main(){
int n;
cout<<"Nhap vao gia tri cua n = ";
cin>>n;
cout<<"Fibonacci("<<n<<") = "<<Fibonacci(n);
getch();
return 0;
}
Tag: C, C++, Đệ quy tuyến tính, Đệ quy, Khử đệ quy, recursive, đệ quy nhị phân




{ 0 nhận xét... read them below or add one }
Đăng nhận xét